• Предмет: Алгебра
  • Автор: Аноним
  • Вопрос задан 9 лет назад

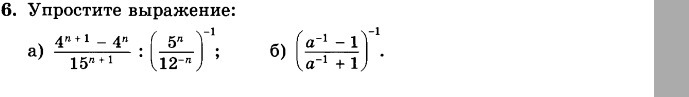
решите плиз только пункт а

Приложения:

Ответы

Ответ дал: debnatkh
0
 frac{4^{n+1}-4^n}{15^{n+1}} :( frac{5^n}{12^{-n}} )^{-1} =  frac{4^n(4-1)}{15^ncdot15}cdot60^n=  frac{4^{2n}cdot3}{15}= frac{4^{2n}}{5}
Вас заинтересует