Ответы
Ответ дал:
0
Ну, что.
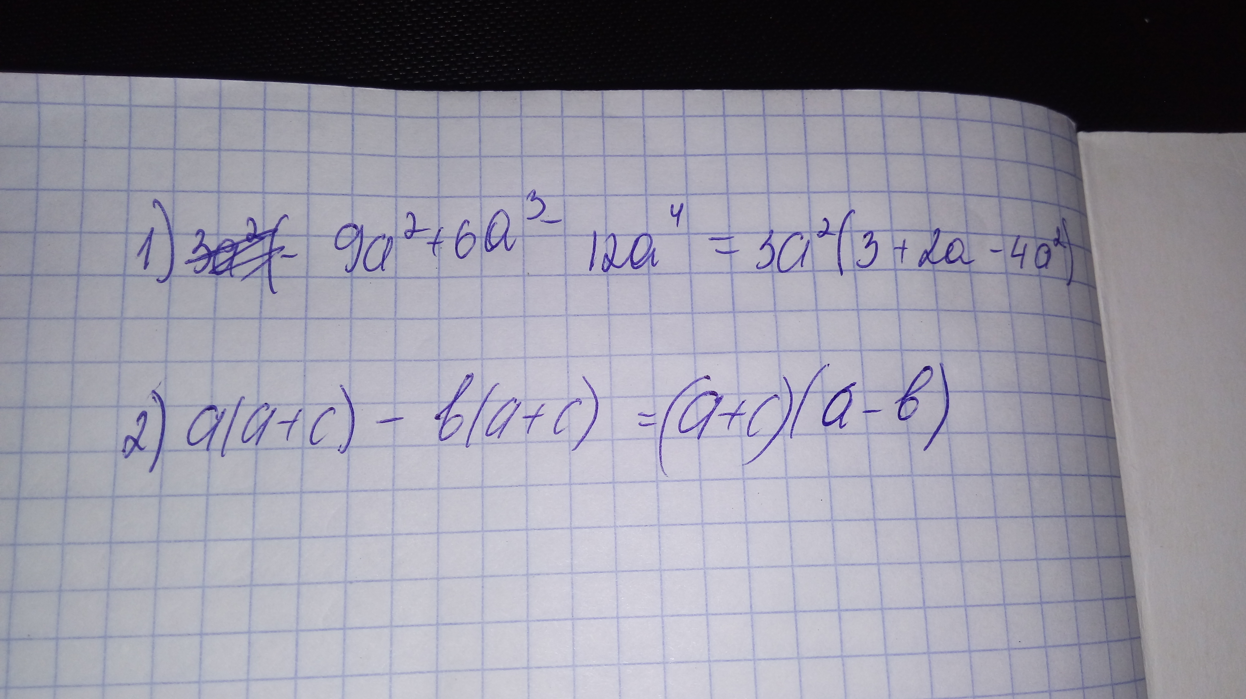
9a^2 + 6a^3 - 12a^4. Что тут общего у всех чисел?
Конечно же переменная a. Теперь посмотрим на числа, какой у них наибольший общий делитель? Да, да ! Опять правильно! Это 3.
Попробуем вот такую штуку.
3a^2 * ( 9a^2/3a^2 + 6a^3/3a^2 - 12a^4/3a^2) = 3a^2 *(3+2a - 4a^2)
Класс! Получилось ! Следующий попробуй сама.
Ответ я написала ниже для проверки, чтобы ты могла проверить.
(a+c)*(a-b)
Если вы что-то не поняли или нашли ошибку, то напишите, пожалуйста, автору. Важно, чтобы вы поняли материал, а не просто списали решение.
9a^2 + 6a^3 - 12a^4. Что тут общего у всех чисел?
Конечно же переменная a. Теперь посмотрим на числа, какой у них наибольший общий делитель? Да, да ! Опять правильно! Это 3.
Попробуем вот такую штуку.
3a^2 * ( 9a^2/3a^2 + 6a^3/3a^2 - 12a^4/3a^2) = 3a^2 *(3+2a - 4a^2)
Класс! Получилось ! Следующий попробуй сама.
Ответ я написала ниже для проверки, чтобы ты могла проверить.
(a+c)*(a-b)
Если вы что-то не поняли или нашли ошибку, то напишите, пожалуйста, автору. Важно, чтобы вы поняли материал, а не просто списали решение.
Ответ дал:
0
3a^2 * ( 9a^2/3a^2 + 6a^3/3a^2 - 12a^4/3a^2) = 3a^2 *(3+2a - 4a^2)
Ответ дал:
0
Вот....................................
Приложения:
Вас заинтересует
2 года назад
2 года назад
7 лет назад
7 лет назад
10 лет назад
10 лет назад