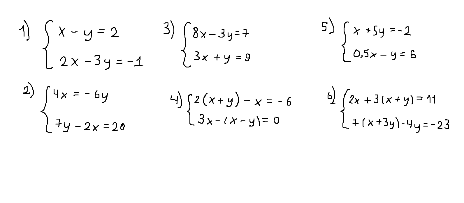
ребят помагите пожалуста решить систему линейных уравнений прошу помагите пожалуста задание во влажении помаги пожалуста всю жизнь буду благодарен тема за 6 класс удобным способом решить
Приложения:

Ответы
Ответ дал:
0
........................................
Приложения:


Вас заинтересует
2 года назад
2 года назад
8 лет назад
8 лет назад
10 лет назад
10 лет назад
10 лет назад