Ответы
Ответ дал:
0
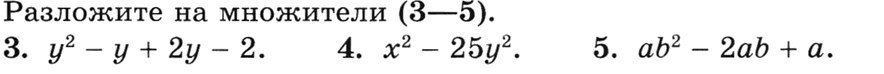
1) у² - у + 2у -2= (у² -у)+(2у -2)= у(у -1)+ 2(у-1)= (у+2)*(у-1)
2) х² -25у²= (х-5у)*(х+5у)
3) аb² - 2ab +a = (√а*b- √a)²
2) х² -25у²= (х-5у)*(х+5у)
3) аb² - 2ab +a = (√а*b- √a)²
Вас заинтересует
2 года назад
2 года назад
7 лет назад
10 лет назад
10 лет назад
10 лет назад