• Предмет: Алгебра
  • Автор: Аноним
  • Вопрос задан 9 лет назад

20,баллов упрости выражение

Приложения:

Ответы

Ответ дал: Якорь756
0
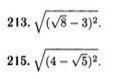
√(√8-3)^2=√(2√2-3)^2=3-2√2
√(4-√5)^2=|4-√5|=4-√5
Вас заинтересует