• Предмет: Алгебра
  • Автор: Alina200213322
  • Вопрос задан 9 лет назад

прошу решите очень надо

Приложения:

Ответы

Ответ дал: missangelina70
0
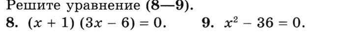
9. х*х-36=0
х*х=0+36
х*х=36
Х=6
Вас заинтересует