Пожалуйста помогите решить ДЗ по теме :
«Решение показательных и логарифмических уравнений и неравенств»
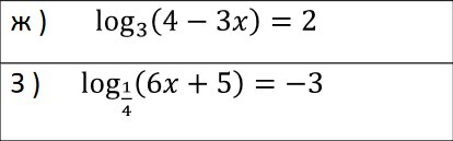
Решите уравнения:
Приложения:

Ответа на этот вопрос пока нет. Попробуйте найти его через форму поиска.
Вас заинтересует
2 года назад
2 года назад
7 лет назад
7 лет назад
10 лет назад