Пожалуйста помогите решить ДЗ по теме :
«Решение показательных и логарифмических уравнений и неравенств»
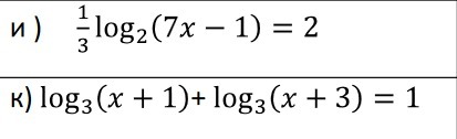
Решите уравнения:
Приложения:
Ответы
Ответ дал:
0
Решение смотри на фото
Приложения:
Вас заинтересует
2 года назад
2 года назад
7 лет назад
7 лет назад
10 лет назад
10 лет назад
10 лет назад
10 лет назад