• Предмет: Математика
  • Автор: Usopp7
  • Вопрос задан 9 лет назад

Пожалуйста помогите решить ДЗ по теме :
«Решение показательных и логарифмических уравнений и неравенств»

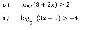
РЕШИТЕ НЕРАВЕНСТВА:

Приложения:

Ответы

Ответ дал: ВладимирБ
0
Решение смотри на фото
Приложения:
Вас заинтересует