• Предмет: Алгебра
  • Автор: azat12000
  • Вопрос задан 9 лет назад

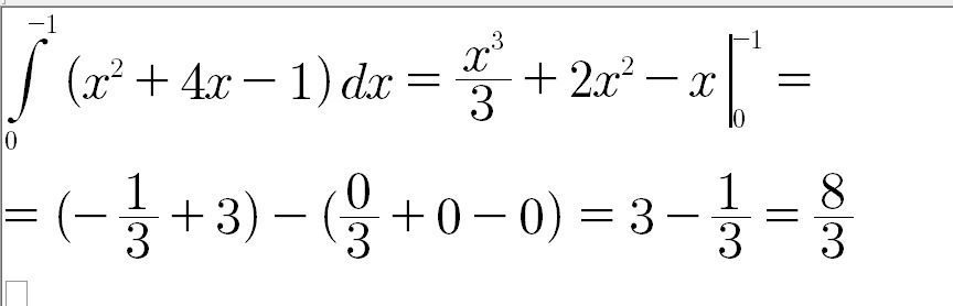
интеграл от нуля до -1 (х^2+4х-1)dx

Ответы

Ответ дал: ShirokovP
0
см фото
========================================
Приложения:
Вас заинтересует