• Предмет: Алгебра
  • Автор: denielfak
  • Вопрос задан 9 лет назад

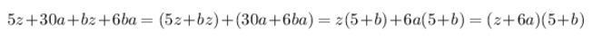
Разложить на множители 5z+30a+bz+6ba

Ответы

Ответ дал: dtnth
0
5z+30a+bz+6ba=(5z+bz)+(30a+6ba)=z(5+b)+6a(5+b)=(z+6a)(5+b)
Приложения:
Вас заинтересует