Ответы
Ответ дал:
0
.4(1-5х)=9-3(6х-5)
4-20х=9-18х+15
2х=-20
х=-10
4(1+50)=9-3(-60-5)
204=9+195
204=204
4-20х=9-18х+15
2х=-20
х=-10
4(1+50)=9-3(-60-5)
204=9+195
204=204
Ответ дал:
0
пожалуйста
Ответ дал:
0
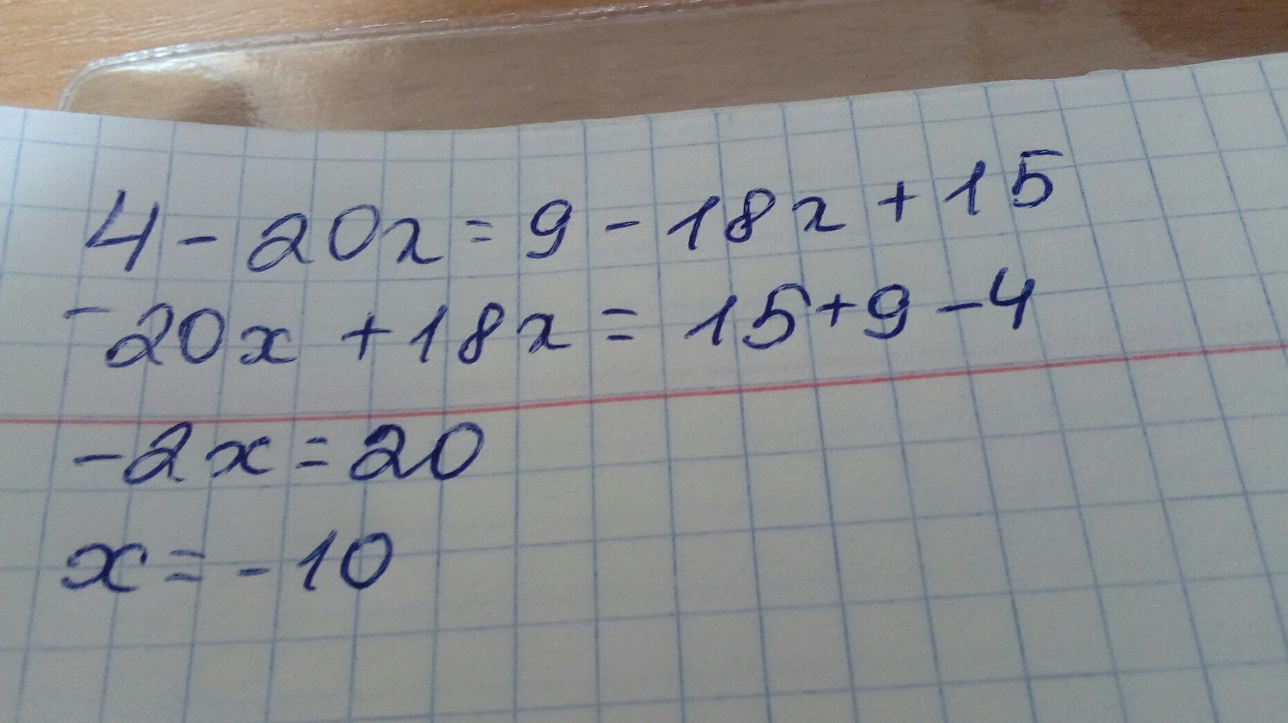
4-20x=9-18x+15
-20x+18x=15+9-5
-2x=20
x=-10
-20x+18x=15+9-5
-2x=20
x=-10
Приложения:
Вас заинтересует
3 года назад
3 года назад
7 лет назад
7 лет назад
10 лет назад
10 лет назад
10 лет назад
10 лет назад