Помогите пожалуйста!!! Очень срочно надо, поэтому дам 15 баллов!!!
Разложите на множители
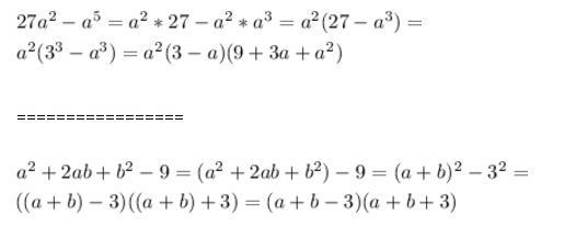
а) 27а^2-а^5
б) а^2+2аб+б^2-9
Ответы
Ответ дал:
0
=================
Приложения:

Вас заинтересует
2 года назад
7 лет назад
7 лет назад
9 лет назад
9 лет назад