• Предмет: Алгебра
  • Автор: goodgardener
  • Вопрос задан 9 лет назад

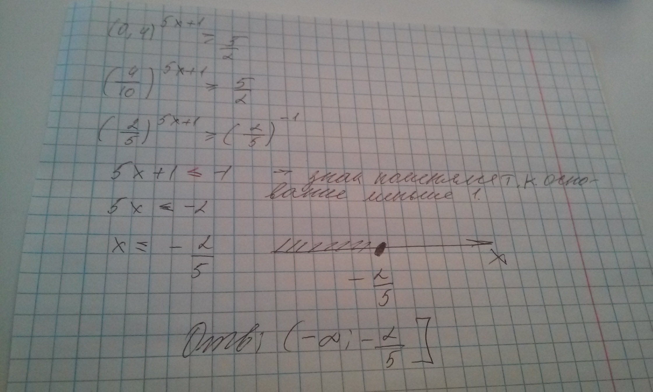
Решите уравнение на фото

Приложения:

Ответы

Ответ дал: ШереметИрина
0
...............................................................................
Приложения:
Вас заинтересует