• Предмет: Алгебра
  • Автор: novitskaya93
  • Вопрос задан 9 лет назад

Розв'язати рівняння /решить уравнение , надеюсь на фото понятно

Приложения:

Ответы

Ответ дал: mami25366
0

одз 
x - 3 ≠ 0
≠ 3

+ 3 ≠ 0
x≠ -3

x² - 9≠ 0
≠ -3 ; x ≠ 3


-------------------------------------------------------------------------------------

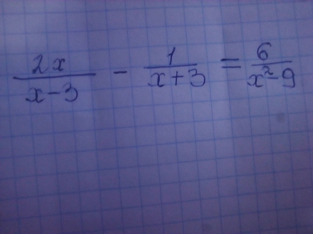
    2x             1               6
---------- - ----------- = ------------
 
  x - 3         x + 3         x² - 9

 2x * (x + 3) - 1*(x - 3)             6
------------------------------ = ---------------
(
x - 3) * (x + 3)                    x² - 9


 2x² + 6x - x + 3              6
------------------------ = ---------------
           x² - 9                  x² - 9


 2x² + 5x + 3            6
------------------- = -----------
   x² - 9                   x² - 9

Умножаем обе части уравнения на (
x² - 9). Избавляемся от знаменателей.


2x² + 5x + 3 = 6

2x² + 5x + 3 - 6 = 0

2x² + 5x - 3 = 0

D= 5² - 4 * 2 * (-3) = 25 + 24 = 49 > 0 ⇒ уравнение имеет 2 корня

x₁ = (-5 - (-7)) / (2*2) = (-5 + 7) / 4 = 2/4 = 1/2 = 0,5 (корень отвечает одз)

x₂ = (-5 - 7) / (2*2) = -12/4 = -3 (корень не отвечает одз)


Проверка

 2* (1/2)         1               6
---------- - ----------- = ------------  
1/2 - 3      1/2  + 3     (1/2)² - 9


1 / (-5/2) - 1 / (7/2) = 6 / (-35/4)

-1*2/5 - 1*2/7 = -6*4/35

-2*7/35 - 2*5/35 = -24/35

-14/35 - 10/35 = -24/35

-24/35 = -24/35


Ответ: 1/2


Вас заинтересует