• Предмет: Математика
  • Автор: Mariato
  • Вопрос задан 9 лет назад

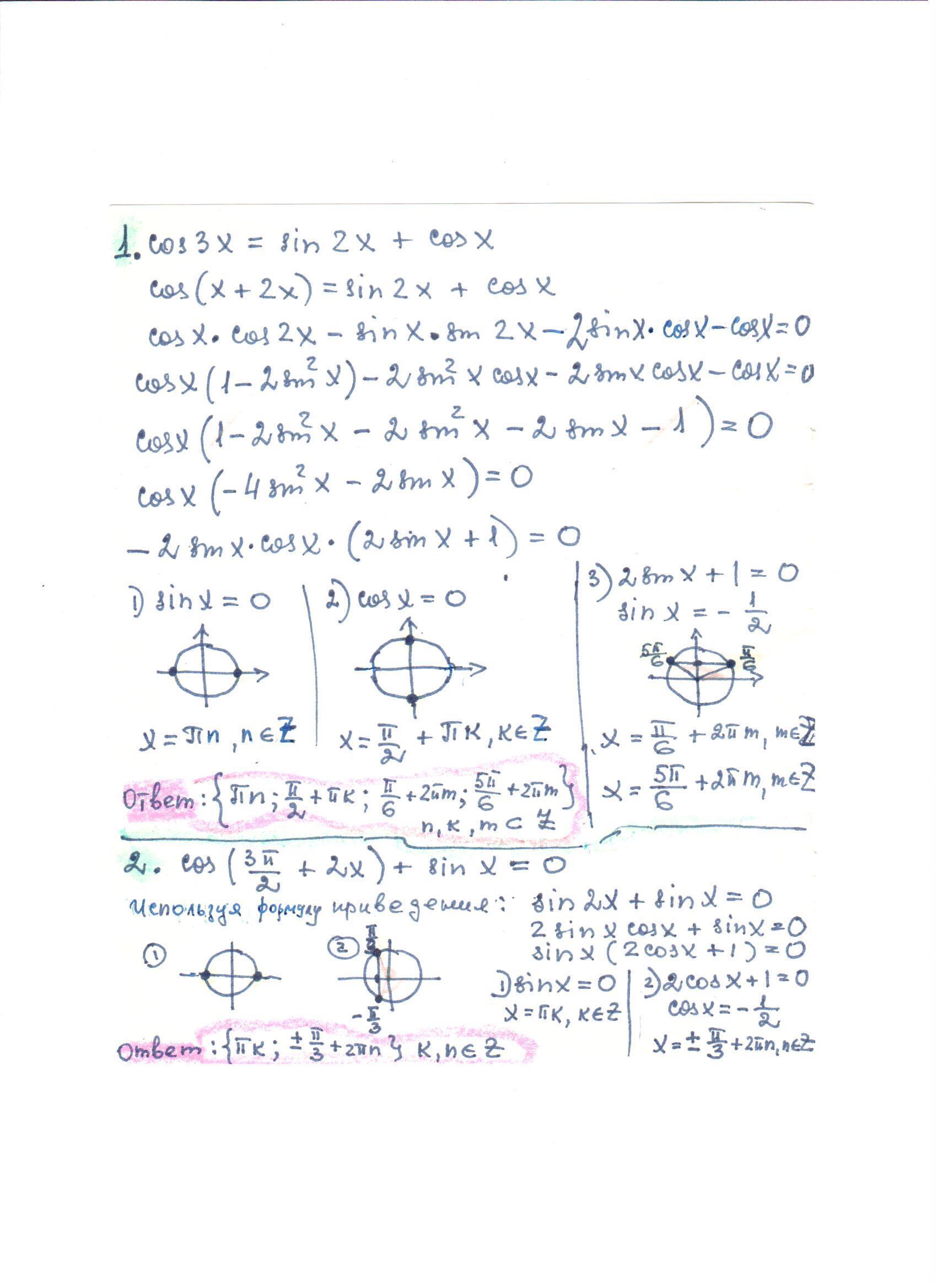
Решите уравнения

Cos3x = sin2x + cosx

Cos(3pi/2 + 2x) + sinx = 0

Ответы

Ответ дал: badakur
0
Первое уравнение - красивое. На рисунках точками отмечены решения. Хорошего дня!
Приложения:
Вас заинтересует