Ответы
Ответ дал:
0
Угл 1 = 80°
Угл 2= 100°
Угл 3 = 80°
Угл 2= 100°
Угл 3 = 80°
Ответ дал:
0
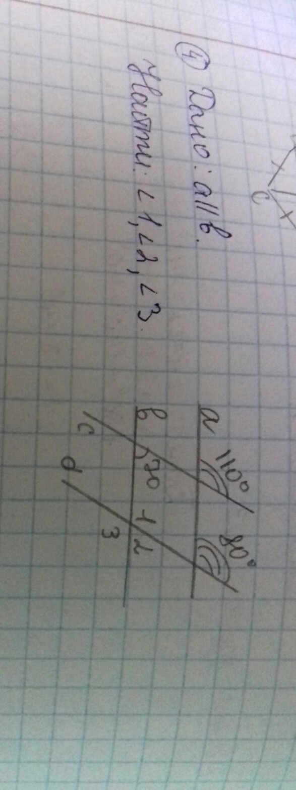
а ll б
угол 4 = 80 градусов.
угол 1 = угол 4 (т. к. соответственные)
угол 1 = 80 градусов
угол 1 = угол 3 ( т. к. вертикальные)
угол 3 = 80 градусов.
угол 1 и угол 2 - смежные
угол 1 + угол 2 = 180 градусов.
угол 2 - x
80 + x = 180
x = 180 - 80
x = 100
Ответ: 100
угол 2 = 100 градусов.
Ответ: угол 1 = 80 градусов, угол 2 = 100 градусов, угол 3 = 80 градусов.
угол 4 = 80 градусов.
угол 1 = угол 4 (т. к. соответственные)
угол 1 = 80 градусов
угол 1 = угол 3 ( т. к. вертикальные)
угол 3 = 80 градусов.
угол 1 и угол 2 - смежные
угол 1 + угол 2 = 180 градусов.
угол 2 - x
80 + x = 180
x = 180 - 80
x = 100
Ответ: 100
угол 2 = 100 градусов.
Ответ: угол 1 = 80 градусов, угол 2 = 100 градусов, угол 3 = 80 градусов.
Вас заинтересует
2 года назад
2 года назад
7 лет назад
7 лет назад
10 лет назад
10 лет назад
10 лет назад