Ответы
Ответ дал:
0
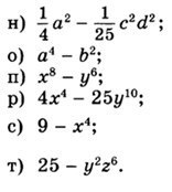
(1/2а-1/5сд)(1/2а+1/5сд)
(а2-б) =======
х4-у3)======
2х*2-5у*5)=====
3-х*2)====
5-уз3)=====
там где ==== нужно еще одна скобка столько знак поменяй на противоположный как в первом примере
(а2-б) =======
х4-у3)======
2х*2-5у*5)=====
3-х*2)====
5-уз3)=====
там где ==== нужно еще одна скобка столько знак поменяй на противоположный как в первом примере
Ответ дал:
0
Разложи на множители 0,027−0,3 t−t^2+t^3
Вас заинтересует
2 года назад
2 года назад
7 лет назад
10 лет назад
10 лет назад