Ответы
Ответ дал:
0
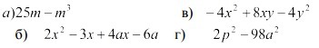
а)m(5-m)(5+m)
б)x(2x-3)+2a(2x-3)=(2x-3)(x+2a)
в)меняем знаки: 4x^2-8xy+4y^2=(2x-2y)^2
г)2(p^2-44a^2) больше ничего, вроде бы, сделать нельзя
б)x(2x-3)+2a(2x-3)=(2x-3)(x+2a)
в)меняем знаки: 4x^2-8xy+4y^2=(2x-2y)^2
г)2(p^2-44a^2) больше ничего, вроде бы, сделать нельзя
Ответ дал:
0
Большое спасибо)
Вас заинтересует
2 года назад
2 года назад
7 лет назад
7 лет назад
10 лет назад
10 лет назад