• Предмет: Математика
  • Автор: Alisa1209876543
  • Вопрос задан 9 лет назад

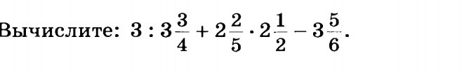
Помогите!!! Срочно! За правельный ответ 30 баллов!) Срочно!!!

Приложения:

Ответа на этот вопрос пока нет. Попробуйте найти его через форму поиска.

Вас заинтересует