• Предмет: Алгебра
  • Автор: valeriamagicrollers
  • Вопрос задан 9 лет назад

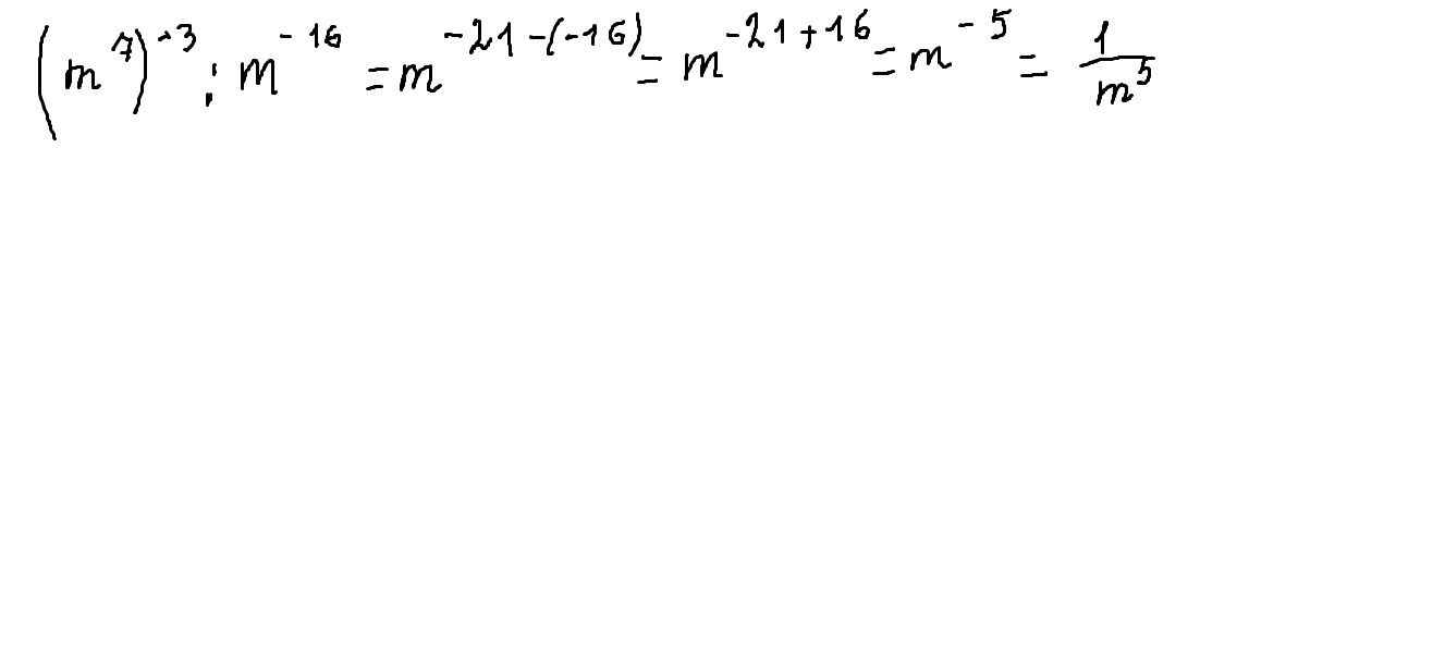
Упростите выражение (m^7)^-3 :m^-16

Ответы

Ответ дал: parus77
0
при возведении степени в степень показатели перемножаются,при делении степеней показатели вычитаются
Приложения:
Вас заинтересует