Ответы
Ответ дал:
0
6. 1) 60 : 100 = 0,6 (1 процент от 60)
2)0,6 * 75 = 45 (75 процентов от 60)
3)45 : 9 = 5 (1/9 от 45)
4)5 * 5 = 25(5/9 от 45)
ответ : 25
6. 1) 49 : 7 = 8(1/7 от 49)
2)8 * 3 = 24(3/7 от 49)
3)24 : 100 = 0,24(1 процент от 24)
4)0,24 * 70 = 16,8(70 процентов от 24)
ответ: 16,8
2)0,6 * 75 = 45 (75 процентов от 60)
3)45 : 9 = 5 (1/9 от 45)
4)5 * 5 = 25(5/9 от 45)
ответ : 25
6. 1) 49 : 7 = 8(1/7 от 49)
2)8 * 3 = 24(3/7 от 49)
3)24 : 100 = 0,24(1 процент от 24)
4)0,24 * 70 = 16,8(70 процентов от 24)
ответ: 16,8
Ответ дал:
0
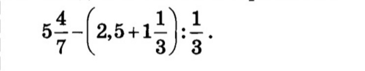
спасибо, а выражение?
Вас заинтересует
2 года назад
7 лет назад
7 лет назад
10 лет назад
10 лет назад
10 лет назад