• Предмет: Алгебра
  • Автор: Nastysnastysnastyyf
  • Вопрос задан 11 лет назад

решите 1 пример срочно плиз

Приложения:

Ответы

Ответ дал: Гоша68
0
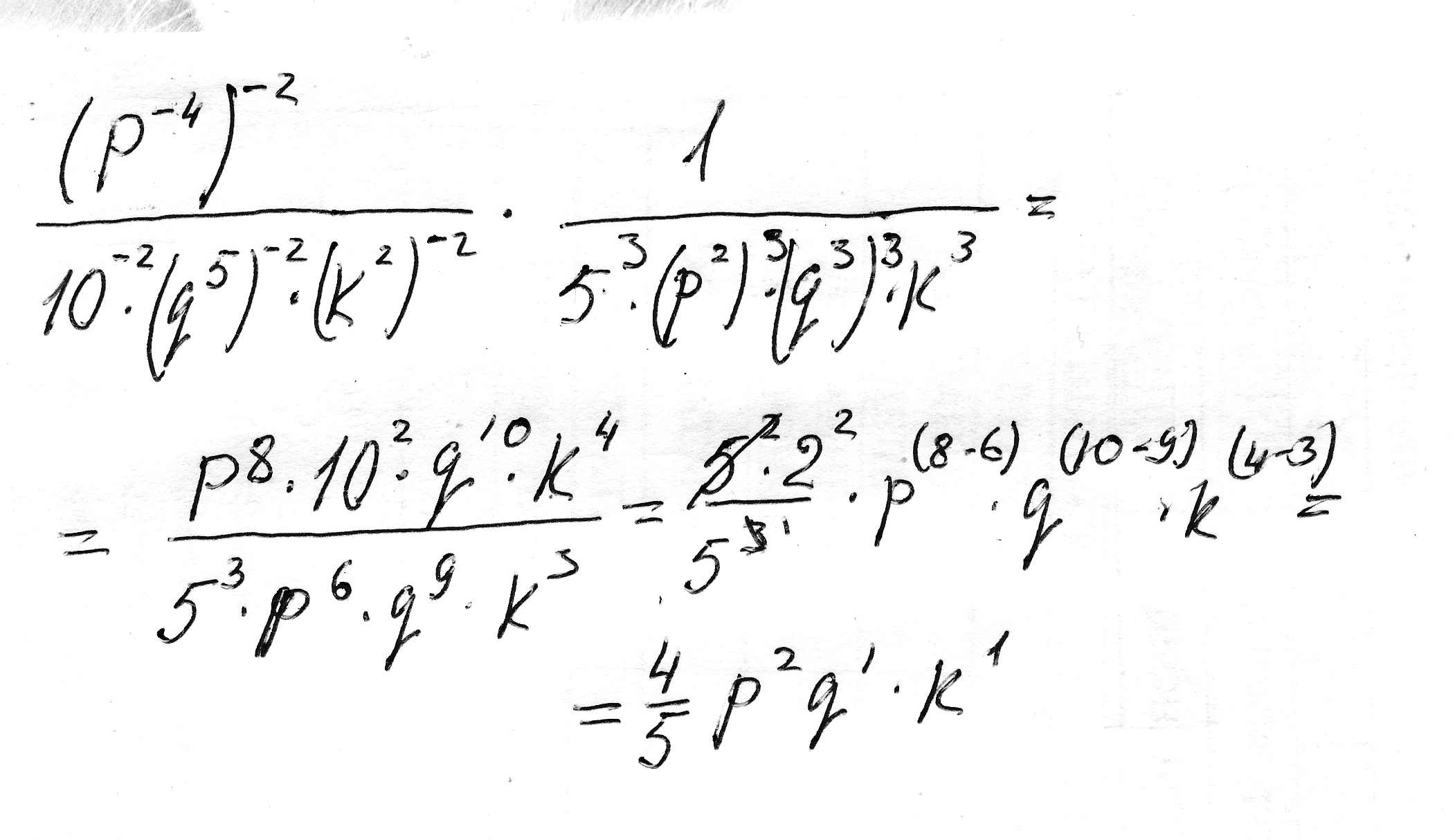
(10q^5*k^2)^2/p^(-8):(5^3p^6q^9k^3)=

=5^2*4*q^10*k^4*p^8*p^(-6)q^(-9)k^(-3)/5^3=(4/5)*q*k*p^2
Приложения:
Ответ дал: Nastysnastysnastyyf
0
пожалуста можете написать на бумаге и закинуть не очень понятно
Вас заинтересует