• Предмет: Математика
  • Автор: Misha200455123
  • Вопрос задан 9 лет назад

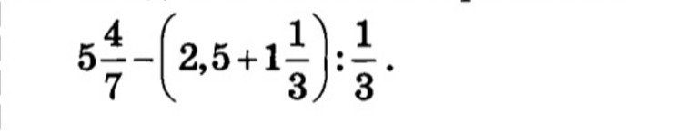
помогите по математике !

Приложения:

Ответа на этот вопрос пока нет. Попробуйте найти его через форму поиска.

Вас заинтересует