• Предмет: Алгебра
  • Автор: suparstat
  • Вопрос задан 9 лет назад

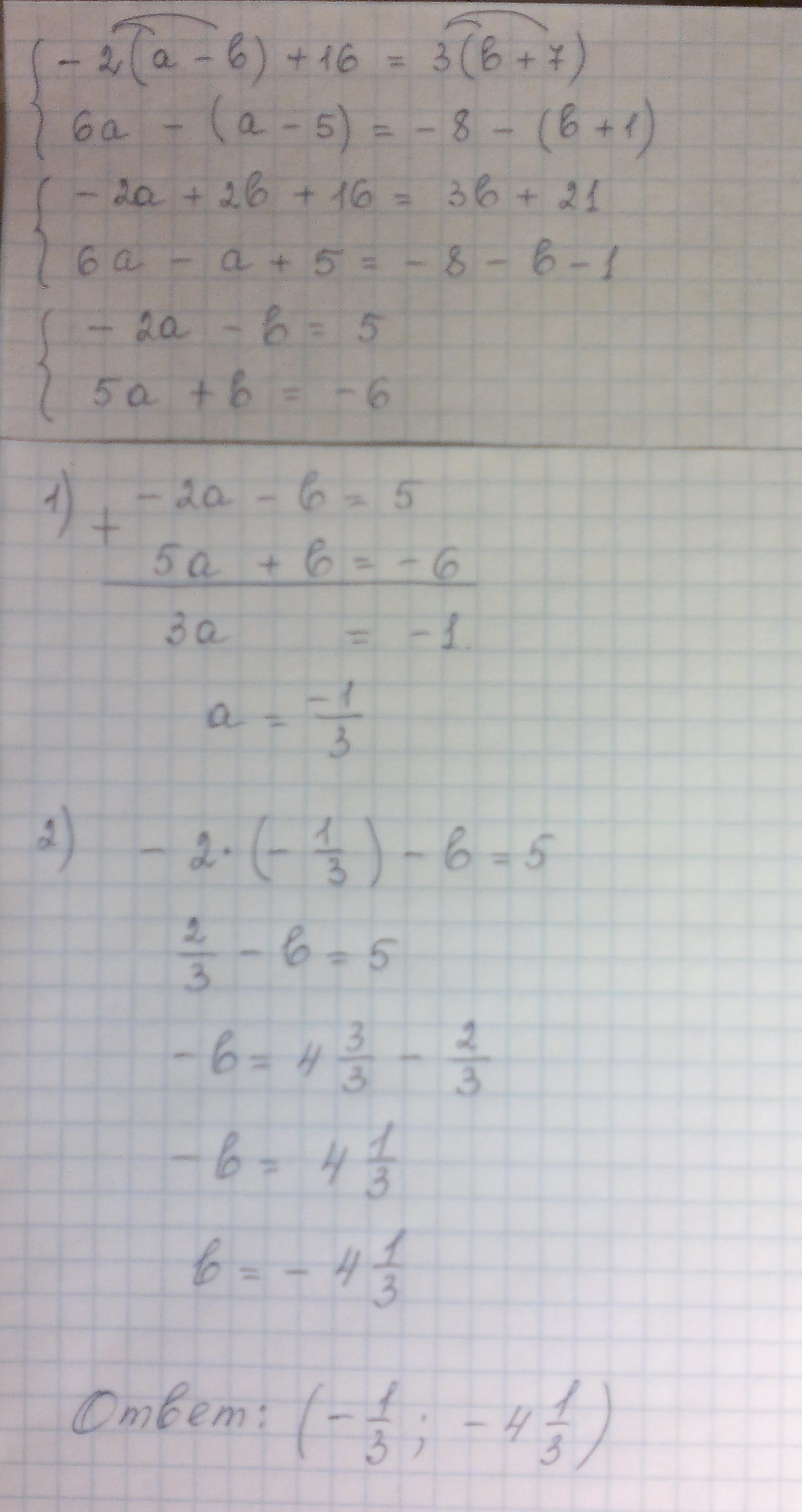
Решите систему уравнений .

Приложения:

Ответы

Ответ дал: ytekjdbvsq
0
Пишите, если что не так.
Приложения:
Вас заинтересует