Ответы
Ответ дал:
0
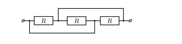
Если проследить по схеме, то можно заметить, что все резисторы соединены с одной стороны так, что место соединения выходит на первую клемму, а вторыми концами они соединены с выходом на вторую клемму.
То есть, по точкам А B C D можно убедиться в том, что исходная схема преобразуется в чисто параллельное соединение.
То есть, по точкам А B C D можно убедиться в том, что исходная схема преобразуется в чисто параллельное соединение.
Приложения:

Вас заинтересует
2 года назад
2 года назад
7 лет назад
9 лет назад
9 лет назад
10 лет назад
10 лет назад