• Предмет: Алгебра
  • Автор: дима1280
  • Вопрос задан 9 лет назад

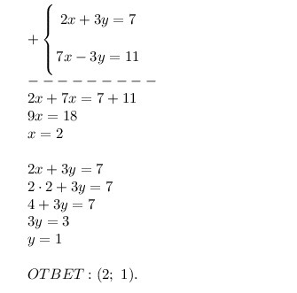
решите методом cложения систему уравнения {2x+3y=7. 7x-3y=11

Ответы

Ответ дал: Dимасuk
0
 +left {{ bigg {2x + 3y = 7} atop bigg { 7x - 3y = 11}} right.  \ --------- \ 
2x + 7x = 7 + 11 \ 
9x = 18 \ 
x = 2 \ \
2x + 3y = 7 \ 
2 cdot 2 + 3y = 7 \ 
4 + 3y = 7 \ 
3y = 3 \ 
y = 1 \ \
OTBET: (2;  1).
Приложения:
Вас заинтересует