Ответы
Ответ дал:
0
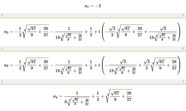
a^2 - 4/a^2 = -a + 2 + 2/a ПОлучилось как-то так!
Приложения:

Вас заинтересует
2 года назад
7 лет назад
9 лет назад
9 лет назад
10 лет назад