Помогите найти производную
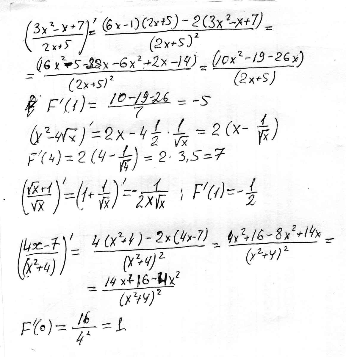
1) F(X)=3x^2-x+7/( деленое, дробная черта)2x+5 при x=1
2) F(X)=x^2-4 корня из(x) при x=4
3)F(X)=4x-7/( деленое, дробная черта)x^2+4 при x=0
4) F(X)=корень из(x)+1/( деленое, дробная черта)корень из(X) при x=1
Ответы
Ответ дал:
0
примеры в файле.............................................................................
Приложения:

Вас заинтересует
2 года назад
2 года назад
8 лет назад
10 лет назад
10 лет назад
10 лет назад