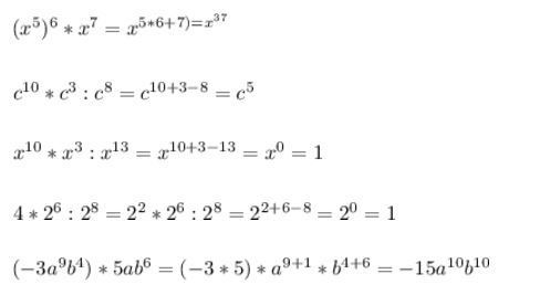
Решите пожалуйста срочно нужно (x^5)^6*x^7
c^10*c^3:c^8
x^10*x^3 деленное все на x^13
4*2^6 делённое все на 2^8
(-3a^9b^4)*5ab^6
Дам 20 баллов помогите пожалуйста очень сильно нужно
Ответы
Ответ дал:
0
Приложения:

Вас заинтересует
2 года назад
2 года назад
7 лет назад
7 лет назад
9 лет назад
9 лет назад
10 лет назад