• Предмет: Алгебра
  • Автор: qwerty123466785
  • Вопрос задан 9 лет назад

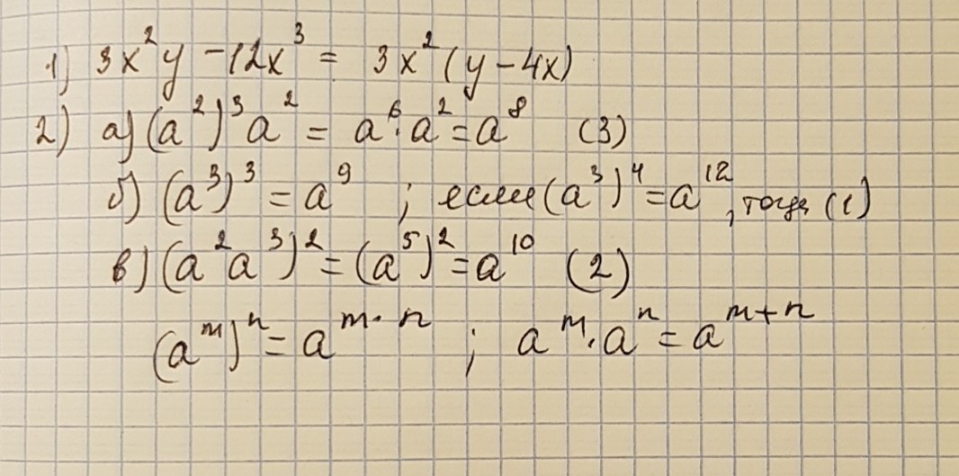
1. Вынесите за скобки общий множитель: 3x^2y-12x^3
2. Для каждого выражения из верхней строки укажите равное ему выражение из нижней
A) (a^2)^3a^2 Б) (a^3)^3 В) (a^2a^3)^2
1) a^12 2) a^10 3) a^8 4) a^7

Ответы

Ответ дал: подкожного
0
решение задания смотри на фотографии
Приложения:
Вас заинтересует