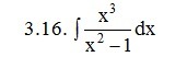
3.16 Найти интегралы от рациональных функций:
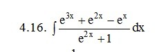
4. Найти интегралы:
5.Вычислить определенный интеграл:
Приложения:



Ответа на этот вопрос пока нет. Попробуйте найти его через форму поиска.
Вас заинтересует
2 года назад
7 лет назад
9 лет назад
9 лет назад
10 лет назад