Ответы
Ответ дал:
0
Приложения:

Ответ дал:
0
понятие не имею что такое tex - Frac
Ответ дал:
0
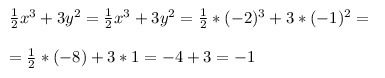
так видно?
Ответ дал:
0
все спасибо !)
Ответ дал:
0
пожалуйста)
Вас заинтересует
2 года назад
7 лет назад
9 лет назад
9 лет назад
10 лет назад