• Предмет: Алгебра
  • Автор: Аноним
  • Вопрос задан 11 лет назад

Задание на рисунке: помогите решить

Приложения:

Ответы

Ответ дал: Artem112
0
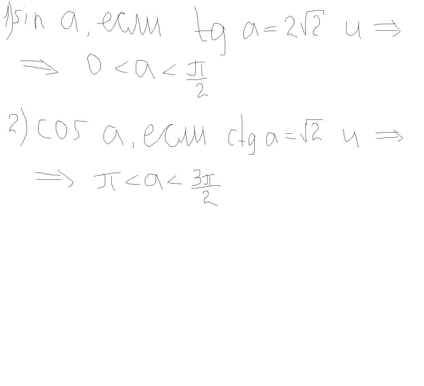
tg alpha =2 sqrt{2} 
\
cos alpha = sqrt{ frac{1}{1+tg^2 alpha } } =sqrt{ frac{1}{1+8 } } = frac{1}{3} 
\
sin alpha =tg alpha cos alpha = frac{2 sqrt{2} }{3}

ctg alpha = sqrt{2} \ sin alpha =- sqrt{ frac{1}{1+ctg^2 alpha } } =-sqrt{ frac{1}{1+2 } } =- frac{ sqrt{3} }{3} \ cos alpha =ctg alpha sin alpha = -frac{ sqrt{6} }{3}
Вас заинтересует