• Предмет: Алгебра
  • Автор: andrew46region
  • Вопрос задан 9 лет назад

Нужна помощь очень срочно, буду благодарен

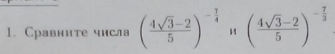
Приложения:

Ответа на этот вопрос пока нет. Попробуйте найти его через форму поиска.

Вас заинтересует