• Предмет: Алгебра
  • Автор: песняпдд
  • Вопрос задан 9 лет назад

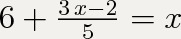
Мне нужно с решение помогите пожалуйста

Приложения:

Ответы

Ответ дал: wiktoriabarcuk
0
зводимо до спільного знаменника 5....далі у чисельнику 30+3х-2-5х=0...далі 28-2х=0...далі -2х=-28....далі х=14

Ответ дал: SiskinShkolnik
0
6+3х-2/5=x / 5 
6*5+3x-2=5x
30+3x-2=5x
-2x=-30-2
-2x=-32/(-2)
x=16
Вас заинтересует