Ответы
Ответ дал:
0
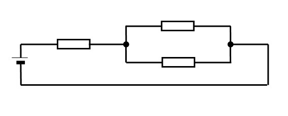
Видимо, выглядеть это будет вот так..))
Приложения:

Ответ дал:
0
А можете объяснить почему именно так ,какие-то правила есть?
Ответ дал:
0
Правила очень простые..)) Чтобы цепь работала, по ней должен течь ток, поэтому, как правило, источник питания (блок питания, батарейка и т.п.) замыкается на полезную нагрузку (лампочка, чайник, телевизор и пр.). В данной цепи можно предположить в качестве нагрузки именно лампочки для фонарика..))
Ответ дал:
0
Надо было еще последовательно с батарейкой выключатель поставить..))
Ответ дал:
0
Огромное спасибо!
Ответ дал:
0
Да не за что..)) Обращайтесь.
Вас заинтересует
2 года назад
7 лет назад
7 лет назад
9 лет назад
9 лет назад
10 лет назад