Ответы
Ответ дал:
0
решение во вложении
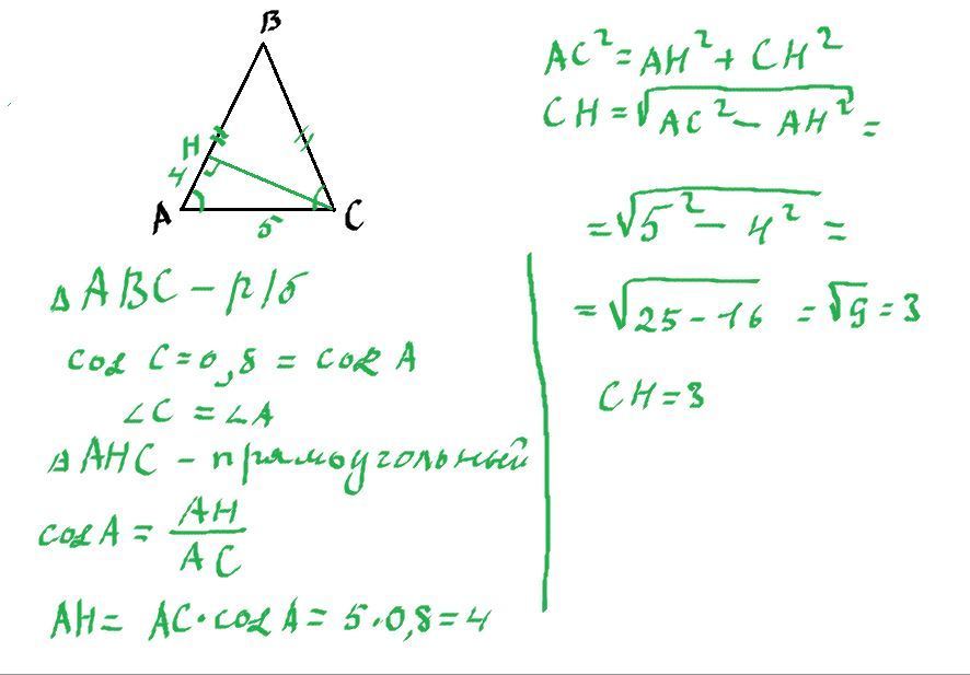
АBC - равнобедренный, СН, я так понимаю высота из угла С. угол А равен углу С, поэтому их косинусы тоже равны.
Из определения косинуса- как отношение прилежащего катета к гипотенузе, находим АН.
Из теоремы Пифагора находим СН.
АBC - равнобедренный, СН, я так понимаю высота из угла С. угол А равен углу С, поэтому их косинусы тоже равны.
Из определения косинуса- как отношение прилежащего катета к гипотенузе, находим АН.
Из теоремы Пифагора находим СН.
Приложения:
Вас заинтересует
2 года назад
2 года назад
7 лет назад
10 лет назад
10 лет назад
10 лет назад