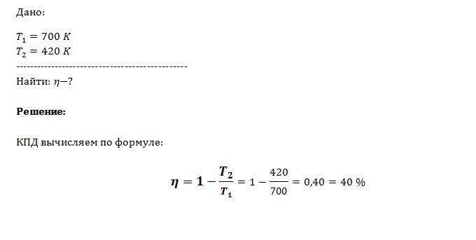
Температура нагревателя идеальной машины Карно 700 К, а температура холодильника 420 К. Каков КПД идеальной машины?
Ответы
Ответ дал:
0
Решение во вложении:
Приложения:
Вас заинтересует
3 года назад
3 года назад
7 лет назад
7 лет назад
10 лет назад
10 лет назад
10 лет назад