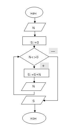
Запишите на языке Паскаль программу, соответствующую приведённой ниже блок-схеме и определить, что вычисляет данная программа:
Приложения:

Ответы
Ответ дал:
0
Программа на скрине!
программа получает на вход последовательность цел. чисел (признак конца последовательности 0 (не входит в последовательность)) и возвращает сумму этих чисел.
Надеюсь помог!
программа получает на вход последовательность цел. чисел (признак конца последовательности 0 (не входит в последовательность)) и возвращает сумму этих чисел.
Надеюсь помог!
Приложения:

Вас заинтересует
2 года назад
7 лет назад
7 лет назад
9 лет назад
9 лет назад
10 лет назад