Ответы
Ответ дал:
0
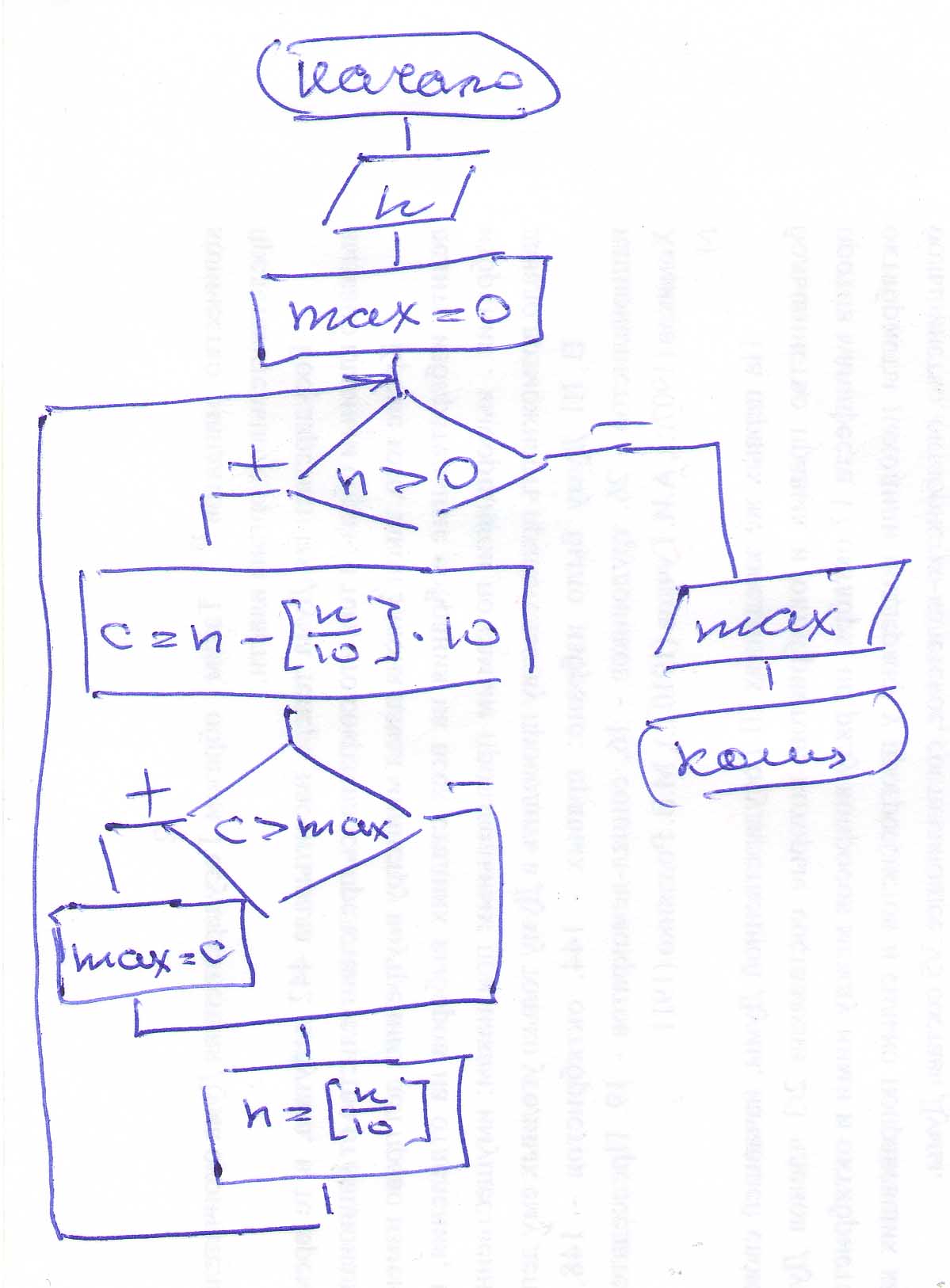
Блок-схема решения (см. файл)
Суть решения: В переменной max найдем максимальную цифру заданного числа N (в начале max=0), для этого выделяю цифры числа N и сравниваю с max если текущее значание больше max запоминаю его, после того как просмотрел все цифры числа N выхожу из цикла и печатаю максимальную цифру.
Приложения:

Вас заинтересует
2 года назад
8 лет назад
10 лет назад
10 лет назад
10 лет назад