Ответы
Ответ дал:
0
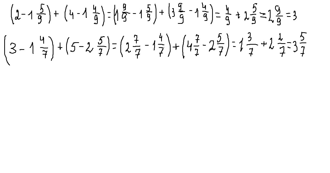
сначала 2 пример,потом 1
Приложения:

Ответ дал:
0
Спасибо
Вас заинтересует
2 года назад
2 года назад
7 лет назад
9 лет назад
9 лет назад
10 лет назад
10 лет назад