• Предмет: Алгебра
  • Автор: kevgrafova
  • Вопрос задан 9 лет назад

Помогите,Срочно!!!!!!

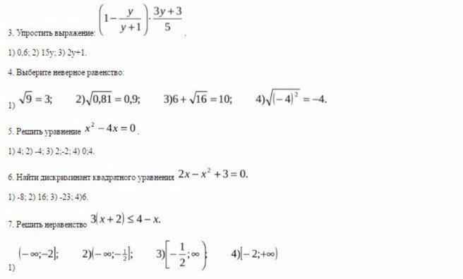
Приложения:

Ответы

Ответ дал: Deom2109
0
за 10 баллов тебе наврятли все это решат
Вас заинтересует