• Предмет: Алгебра
  • Автор: Varia209
  • Вопрос задан 9 лет назад

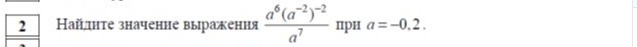
Решите с действиями пожалуйста я просто понять не могу. Зарание спасибо

Приложения:

Ответы

Ответ дал: Ангел1806
0
-2×-2=4
6+4=10
10-7=3
-0,2×-0,2×-0,2=0,008
Ответ дал: Varia209
0
А ты можешь на листке написать и сфотографировать
Ответ дал: Varia209
0
пожалуйста
Вас заинтересует