• Предмет: Алгебра
  • Автор: ritkamanager
  • Вопрос задан 9 лет назад

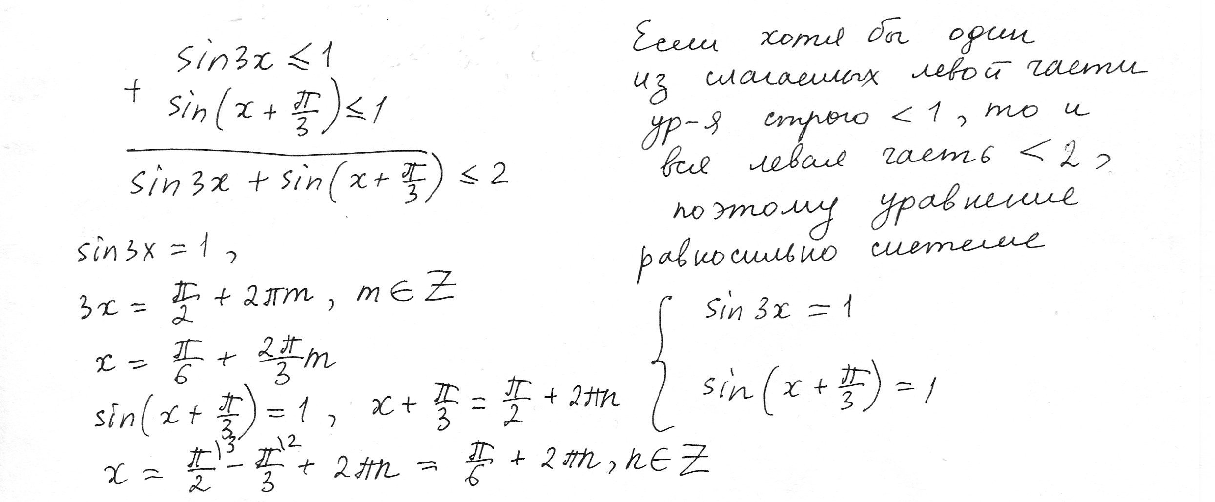
sin3x+sin(x+П3)=2
........

Ответы

Ответ дал: Аноним
0
Решение на двух листочках.
Приложения:
Вас заинтересует