Ответы
Ответ дал:
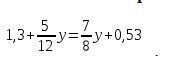
0
5/12y - 7/8y = 0,53 - 1,3
10/24y - 21/24y = -0,77
-11/24y = - 77/100
y = 77/100 * 24/11
y= 42/25
y = 1 17/25
10/24y - 21/24y = -0,77
-11/24y = - 77/100
y = 77/100 * 24/11
y= 42/25
y = 1 17/25
Вас заинтересует
2 года назад
2 года назад
7 лет назад
10 лет назад
10 лет назад
10 лет назад