Ответы
Ответ дал:
0
...........................
Приложения:

Ответ дал:
0
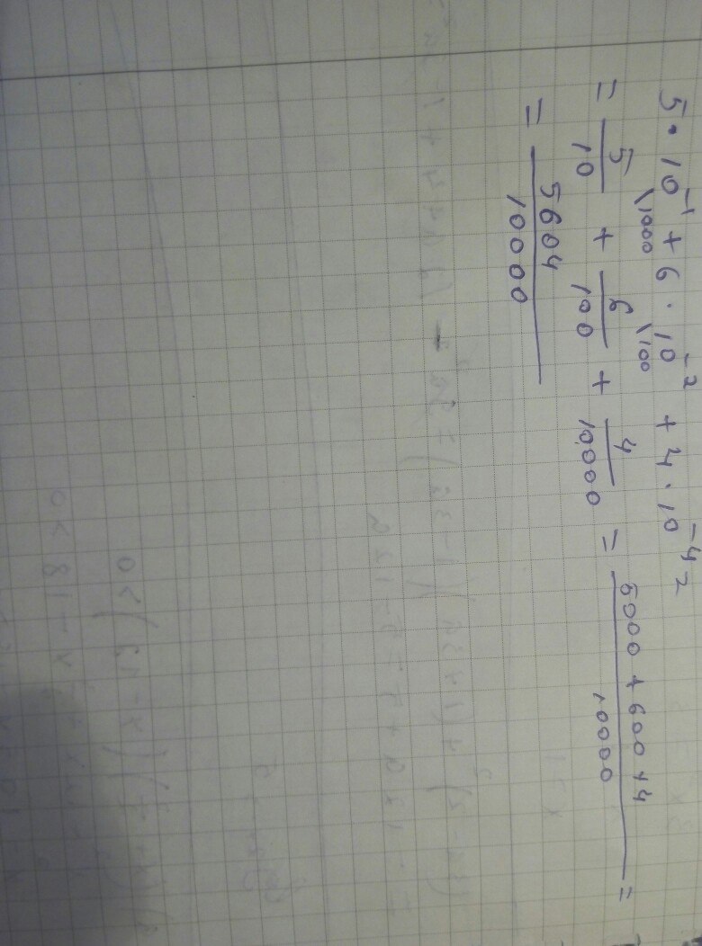
а что в конце
Ответ дал:
0
сократи как нибудь, там на калькуляторе, дели сначала на 4, получиться 1401/2500
Ответ дал:
0
а дальше смотри, можно и так оставить
Ответ дал:
0
или ищи, может оно на что нибудь еще делиться
Ответ дал:
0
ок
Вас заинтересует
2 года назад
2 года назад
7 лет назад
9 лет назад
9 лет назад
10 лет назад