Помогите решить!!! Пожалуйста!!!!1
В школе решали задачу:
Теплоход проходит за 3ч по течению и 2ч против течения 240км. Этот же теплоход за 3ч против течения проходит на 35км больше, чем за 2ч по течению. Найдите скорость теплохода по течению и против течения.
Потом составили вот такие уравнения. Объясните как решать!!!
3(x+y)+2(x-y)=240
3(x-y)-2(x+y)=35
Ответы
Ответ дал:
0
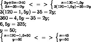
Пусть скорость против течения будет Х км/ч, а по течению У км/ч. Составим систему уравнений и решим её:
Ответ: скорость теплохода по течению 50км/ч, а против течения 45км/ч
Ответ: скорость теплохода по течению 50км/ч, а против течения 45км/ч
Приложения:

Ответ дал:
0
А как из 3(x+y)+2(x-y)=240
3(x-y)-2(x+y)=35
3(x-y)-2(x+y)=35
Ответ дал:
0
Получить 3у+2у=240
3x)35=2у
3x)35=2у
Вас заинтересует
2 года назад
7 лет назад
9 лет назад
9 лет назад
10 лет назад