Ответы
Ответ дал:
0
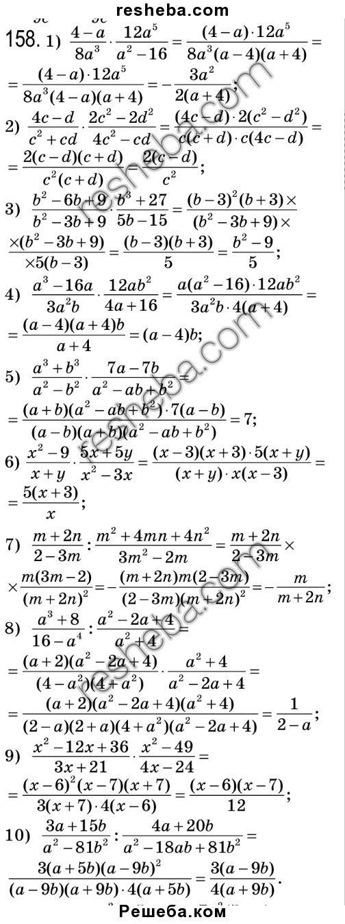
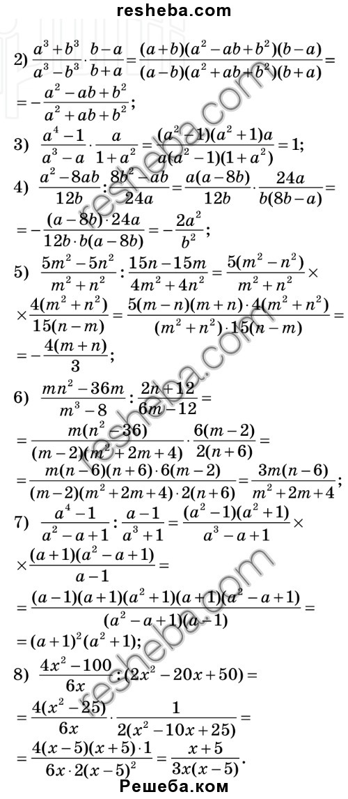
Проверь это а так держи))
Приложения:


Ответ дал:
0
А что?
Ответ дал:
0
нет просто книга какая??автор??
Ответ дал:
0
Алгебра, Якир, Тростенцова
Ответ дал:
0
Без Тростенцовой
Ответ дал:
0
Якир,Мерзляк
Вас заинтересует
2 года назад
7 лет назад
7 лет назад
9 лет назад
9 лет назад
10 лет назад