• Предмет: Алгебра
  • Автор: OlesyaYamnikov
  • Вопрос задан 9 лет назад

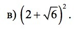
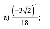
Найдите значение выражения:

Приложения:

Ответы

Ответ дал: подкожного
0
решение задания смотри на фотографии
Приложения:
Ответ дал: подкожного
0
пожалуйста
Вас заинтересует